产品中心
|
环氧大豆油ESO
收藏
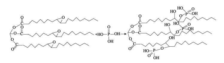
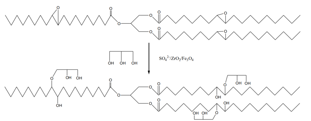
环氧大豆油(epoxidized soybean oil,简称ESO),是一类有机物,化学式为(RC2H2OR'COO)3C3H5,常温下为浅黄色黏稠油状液体。无毒。沸点150℃(0.53 kPa)。溶于大多数有机溶剂和烃类,不溶于水。具有优良的耐热、耐光性及相溶性。常用于聚氯乙烯制品作增塑剂,尤其适用于聚氯乙烯透明制品、食品包装制品及其它无毒制品中 环氧大豆油上的环氧基可以与磷酸发生开环反应,生成磷酸化环氧大豆油多元醇。例如取31 g叔丁醇、5 g磷酸、10 mL去离子水于四口烧瓶中,升温至82℃,进入回流状态;再把100 g大豆油(ESO)、10 mL去离子水、46.5 g叔丁醇放入到恒压漏斗中,逐渐滴入到四口烧瓶,1 h滴完,滴完后反应6 h;将反应后的产物加入到350 g乙酸乙酯中,再用去离子水反复洗,直至溶液显示至中性,然后通过减压蒸馏除去乙酸乙酯和叔丁醇,最终得到磷酸化大豆油多元醇(PESOP) [19] 。 环氧大豆油上的环氧基可以与磷酸酯发生开环反应。例如将400 mg ESO溶于二甲基甲酰胺(DMF)溶剂中,用磁力搅拌器搅拌30分钟。另外将2 g DOPO充分溶解在另一个装有20 mL DMF溶剂的烧杯中。然后加入2 mg的硫胺素焦磷酸(TPP)作为催化剂,在130℃下加热1.5天。最后使用真空烘箱将DMF溶剂从最终产品中去除,便可合成DOPO-jointed ESO [22] 。 环氧大豆油可以在催化剂催化下,利用开环剂,开环制备得到植物油基多元醇。例如将30 g环氧大豆油,90 g异丙醇作为溶剂,60 g甘油作为开环剂及0.3 g磁性固体酸催化剂加入三颈烧瓶,在80℃下机械搅拌6 h后停止反应,使用外加磁场将催化剂固定于烧瓶底部,并将剩余反应液倾倒。反应结束后在反应液中加入水萃取至下层溶液中检测不到甘油的存在(CuSO4检测),将得到的上层黄色液体真空旋蒸即得到最终产物大豆油多元醇 [23] 。 高分子材料通常,植物油增塑剂已实用于PVC树脂,用量在15%。改性后植物油增塑剂用量可高于15%,20%,40%和50%。典型的增塑剂用量上限为70%左右。高环氧增塑剂较高浓度,将提供高的热稳定性。 ESO是一种无毒塑料增塑剂,是美国食品药物管理局(PDA)批准的可用于食品包装材料的增塑剂,在PVC无毒制品、PVC透明制品、透明瓶、透明盒、食品、药物包装材料、PVC医用“输血袋”,PVC户外使用的塑料制品、防水卷材、塑料门窗、贴墙纸塑料膜等的生产制造时,都使用ESO作为增塑剂。 ESO增塑剂衍生物如ESO季戊四醇酯、ESO丙二醇酯、ESO乙二醇酯等。环氧大豆油丙烯酸酯化合物和环氧豆油丙烯酸酯化合物的某些胺衍生物可以用于生产某些聚氨酯衍生物,而这种衍生物本身可作为有用的涂料、黏合剂、成型成分等,或可与其他材料组成产生同样有用的组分。将植物油脂肪酸环氧化和乙酰化进一步得到环氧酯,环氧值等于或小于8。用于PVC增塑剂,可以改善PVC聚合物的特性,这种可再生的化合物,能降低成本。用于主增塑剂,以改进复合PVC,获得最先进和更好的物理性质,如在低温条件下,具有较高混合效率与灵活性,以提高抗脂肪族溶剂萃取并改善抗紫外线降解。 PVC是最著名和应用最广泛的乙烯塑料,PVC大都用增塑剂增塑。大量的PVC通常被称为硬质PVC,用于管道和类似应用中,高抗化学物质是必需的。PVC增塑的形式广泛应用于包括薄膜、电缆外皮、成型、固定产品、输送机织带、玩具和软管。增塑PVC也用做皮革的替代品,可用于服装和面料。 环氧化植物油在工业上已得到广泛应用,如ESO赋予制品良好的机械性能、耐候性能及电性能,除了广泛地用于塑料门窗、管材、室内装潢材料、电线电缆及薄膜之外,还可用来制作要求很高的摄影胶片等,及作为生产电冰箱门上密封垫的专门增塑剂。 ESO用来作为辅助增塑剂,具有优良的热加工和柔性,在典型的挤出加工温度下,经过对PVC聚合物进行测试,ESO已被发现,适用于典型的PVC稳定剂的配方,有助于在现有技术上提高2%~3%的水平。为了进一步提高高温稳定性,可以加入如锌、钙硬脂酸盐金属皂与PVC、ESO组成复合热稳定剂。 稳定剂环氧化合物包括ESO、EPSO、环氧亚麻籽油等。其中环氧油酯最常用于PVC辅助稳定剂,无毒,在一定程度上是作为辅助增塑剂、热稳定剂,用于生产半硬质和硬质PVC制品。 PVC的降解始于脱氯化氢反应,而脱氯化氢往往从烯丙基氯开始,氯化氢的存在则加快PVC的降解速度,使之很快形成一种多烯的链结构。 PVC受热时,颜色由无色透明转变成褐色,表现出长共轭多烯链区结构上的特点。多烯链区的氧化也会产生羰基和过氧化氢基团,这些基团导致PVC发生一系列的物理变化使颜色加深。ESO本身的环氧基为氯化氢的吸收体,可以和烯丙基氯发生反应部分除掉烯丙基,由此延缓了PVC的降解。因此,ESO也是PVC有效的热稳定剂。作为含三元环氧的环氧大豆油能和有机锡产生协同效应,长期发挥热稳定性和光稳定性,能减少昂贵的有机金属盐稳定剂的用量 [24] 。 化妆品增塑剂化妆品成分组成中有效的增塑剂和溶剂,用于成膜物质,其中增塑剂为环氧油,用于构成指甲油成分,化妆产品或护发产品。 按重量计,增塑剂用于成膜材料中由3%~15%的增塑剂组成,15%~35%成膜物质和溶剂等。这些塑化剂具有使用上的灵活性,而不削弱整体性能。如ESO、环氧亚麻油、EPSO以及它们的混合物。合适的环氧化油用于化妆品成分作为指甲油组分首选黏度,是200~400 mPa·S [24] 。 口香糖环氧大豆油可作为柔软剂添加到口香糖,可以优化口感。该柔软剂,也被称为增塑剂和塑化剂,一般加量约5%~15%(重量),用于生产口香糖使用的弹性体增塑剂包括醋酸三甘油酯、EPSO、卵磷脂,以及它们的复合组分 [24] 。相比于其他增塑剂,环氧大豆油有毒性几乎没有,而且价格低廉等的优点。 生物降解农膜ESO可与柠檬酸聚合,在牛皮纸上形成聚酯涂层,用于制造可生物降解的农膜。这种涂层可提高纸的湿强度,降低纸的降解速度。 环保型增塑剂可以用于生物聚合物。可以改善生物聚合物的性能,使之更加灵活和/或改变流动特性。多数生物聚合物可以使用大量环保型增塑剂。包括甘油、醋酸三甘油酯、环氧油酯等。 对以石油为基础的高分子材料日益增长的需求使石油已日渐枯竭。廉价、可生物降解高分子材料的开发,对油脂基高分子材料的开发是一种补充,可以极大地扩大和发展多样化的生物油市场,同时改善环境,减少对石油产品的依赖。用于橡胶的增塑剂,可以是不从石油中提取的材料,不论是合成或天然,具有增塑剂功能的均可应用。该增塑剂还包括这些化合物的衍生产品 [24] 。 环氧大豆油(epoxidized soybean oil,简称ESO),是一类有机物,化学式为(RC2H2OR'COO)3C3H5,常温下为浅黄色黏稠油状液体。无毒。沸点150℃(0.53 kPa)。溶于大多数有机溶剂和烃类,不溶于水。具有优良的耐热、耐光性及相溶性。常用于聚氯乙烯制品作增塑剂,尤其适用于聚氯乙烯透明制品、食品包装制品及其它无毒制品中 环氧大豆油上的环氧基可以与磷酸发生开环反应,生成磷酸化环氧大豆油多元醇。例如取31 g叔丁醇、5 g磷酸、10 mL去离子水于四口烧瓶中,升温至82℃,进入回流状态;再把100 g大豆油(ESO)、10 mL去离子水、46.5 g叔丁醇放入到恒压漏斗中,逐渐滴入到四口烧瓶,1 h滴完,滴完后反应6 h;将反应后的产物加入到350 g乙酸乙酯中,再用去离子水反复洗,直至溶液显示至中性,然后通过减压蒸馏除去乙酸乙酯和叔丁醇,最终得到磷酸化大豆油多元醇(PESOP) [19] 。 环氧大豆油上的环氧基可以与磷酸酯发生开环反应。例如将400 mg ESO溶于二甲基甲酰胺(DMF)溶剂中,用磁力搅拌器搅拌30分钟。另外将2 g DOPO充分溶解在另一个装有20 mL DMF溶剂的烧杯中。然后加入2 mg的硫胺素焦磷酸(TPP)作为催化剂,在130℃下加热1.5天。最后使用真空烘箱将DMF溶剂从最终产品中去除,便可合成DOPO-jointed ESO [22] 。 环氧大豆油可以在催化剂催化下,利用开环剂,开环制备得到植物油基多元醇。例如将30 g环氧大豆油,90 g异丙醇作为溶剂,60 g甘油作为开环剂及0.3 g磁性固体酸催化剂加入三颈烧瓶,在80℃下机械搅拌6 h后停止反应,使用外加磁场将催化剂固定于烧瓶底部,并将剩余反应液倾倒。反应结束后在反应液中加入水萃取至下层溶液中检测不到甘油的存在(CuSO4检测),将得到的上层黄色液体真空旋蒸即得到最终产物大豆油多元醇 [23] 。 高分子材料通常,植物油增塑剂已实用于PVC树脂,用量在15%。改性后植物油增塑剂用量可高于15%,20%,40%和50%。典型的增塑剂用量上限为70%左右。高环氧增塑剂较高浓度,将提供高的热稳定性。 ESO是一种无毒塑料增塑剂,是美国食品药物管理局(PDA)批准的可用于食品包装材料的增塑剂,在PVC无毒制品、PVC透明制品、透明瓶、透明盒、食品、药物包装材料、PVC医用“输血袋”,PVC户外使用的塑料制品、防水卷材、塑料门窗、贴墙纸塑料膜等的生产制造时,都使用ESO作为增塑剂。 ESO增塑剂衍生物如ESO季戊四醇酯、ESO丙二醇酯、ESO乙二醇酯等。环氧大豆油丙烯酸酯化合物和环氧豆油丙烯酸酯化合物的某些胺衍生物可以用于生产某些聚氨酯衍生物,而这种衍生物本身可作为有用的涂料、黏合剂、成型成分等,或可与其他材料组成产生同样有用的组分。将植物油脂肪酸环氧化和乙酰化进一步得到环氧酯,环氧值等于或小于8。用于PVC增塑剂,可以改善PVC聚合物的特性,这种可再生的化合物,能降低成本。用于主增塑剂,以改进复合PVC,获得最先进和更好的物理性质,如在低温条件下,具有较高混合效率与灵活性,以提高抗脂肪族溶剂萃取并改善抗紫外线降解。 PVC是最著名和应用最广泛的乙烯塑料,PVC大都用增塑剂增塑。大量的PVC通常被称为硬质PVC,用于管道和类似应用中,高抗化学物质是必需的。PVC增塑的形式广泛应用于包括薄膜、电缆外皮、成型、固定产品、输送机织带、玩具和软管。增塑PVC也用做皮革的替代品,可用于服装和面料。 环氧化植物油在工业上已得到广泛应用,如ESO赋予制品良好的机械性能、耐候性能及电性能,除了广泛地用于塑料门窗、管材、室内装潢材料、电线电缆及薄膜之外,还可用来制作要求很高的摄影胶片等,及作为生产电冰箱门上密封垫的专门增塑剂。 ESO用来作为辅助增塑剂,具有优良的热加工和柔性,在典型的挤出加工温度下,经过对PVC聚合物进行测试,ESO已被发现,适用于典型的PVC稳定剂的配方,有助于在现有技术上提高2%~3%的水平。为了进一步提高高温稳定性,可以加入如锌、钙硬脂酸盐金属皂与PVC、ESO组成复合热稳定剂。 稳定剂环氧化合物包括ESO、EPSO、环氧亚麻籽油等。其中环氧油酯最常用于PVC辅助稳定剂,无毒,在一定程度上是作为辅助增塑剂、热稳定剂,用于生产半硬质和硬质PVC制品。 PVC的降解始于脱氯化氢反应,而脱氯化氢往往从烯丙基氯开始,氯化氢的存在则加快PVC的降解速度,使之很快形成一种多烯的链结构。 PVC受热时,颜色由无色透明转变成褐色,表现出长共轭多烯链区结构上的特点。多烯链区的氧化也会产生羰基和过氧化氢基团,这些基团导致PVC发生一系列的物理变化使颜色加深。ESO本身的环氧基为氯化氢的吸收体,可以和烯丙基氯发生反应部分除掉烯丙基,由此延缓了PVC的降解。因此,ESO也是PVC有效的热稳定剂。作为含三元环氧的环氧大豆油能和有机锡产生协同效应,长期发挥热稳定性和光稳定性,能减少昂贵的有机金属盐稳定剂的用量 [24] 。 化妆品增塑剂化妆品成分组成中有效的增塑剂和溶剂,用于成膜物质,其中增塑剂为环氧油,用于构成指甲油成分,化妆产品或护发产品。 按重量计,增塑剂用于成膜材料中由3%~15%的增塑剂组成,15%~35%成膜物质和溶剂等。这些塑化剂具有使用上的灵活性,而不削弱整体性能。如ESO、环氧亚麻油、EPSO以及它们的混合物。合适的环氧化油用于化妆品成分作为指甲油组分首选黏度,是200~400 mPa·S [24] 。 口香糖环氧大豆油可作为柔软剂添加到口香糖,可以优化口感。该柔软剂,也被称为增塑剂和塑化剂,一般加量约5%~15%(重量),用于生产口香糖使用的弹性体增塑剂包括醋酸三甘油酯、EPSO、卵磷脂,以及它们的复合组分 [24] 。相比于其他增塑剂,环氧大豆油有毒性几乎没有,而且价格低廉等的优点。 生物降解农膜ESO可与柠檬酸聚合,在牛皮纸上形成聚酯涂层,用于制造可生物降解的农膜。这种涂层可提高纸的湿强度,降低纸的降解速度。 环保型增塑剂可以用于生物聚合物。可以改善生物聚合物的性能,使之更加灵活和/或改变流动特性。多数生物聚合物可以使用大量环保型增塑剂。包括甘油、醋酸三甘油酯、环氧油酯等。 对以石油为基础的高分子材料日益增长的需求使石油已日渐枯竭。廉价、可生物降解高分子材料的开发,对油脂基高分子材料的开发是一种补充,可以极大地扩大和发展多样化的生物油市场,同时改善环境,减少对石油产品的依赖。用于橡胶的增塑剂,可以是不从石油中提取的材料,不论是合成或天然,具有增塑剂功能的均可应用。该增塑剂还包括这些化合物的衍生产品 [24] 。 |
